PAPEETE, le 31 décembre 2018 - Un concours externe est donc ouvert à tous les bacheliers et les candidats ayant un diplôme équivalent. Vous avez jusqu'au 31 janvier pour vous inscrire à ce concours qui vous permettra de devenir instructeur de formation professionnelle.
Si ce concours est ouvert aux bacheliers et aux personnes ayant un diplôme équivalent, il est également disponible pour les majors et officiers mariniers de la marine nationale des spécialités de navigateur, manœuvre ou mécanicien justifiant de cinq ans de service à la mer. Ainsi qu'aux officiers de la marine marchande titulaires du brevet de capitaine 500 justifiant de cinq ans de service à la mer ; aux officiers mécaniciens titulaires du brevet de chef mécanicien 750 kW justifiant de cinq ans de service à la mer ; aux titulaires du brevet de patron de pêche ou du brevet de patron de pêche au large ou d'un diplôme reconnu équivalent et justifiant dans tous les cas d'une durée de cinq ans de service à la mer.
Pour l'épreuve d'admissibilité, les candidats devront faire une rédaction technique qui permettra d'évaluer leurs connaissances dans le domaine professionnel correspondant au poste à pourvoir ainsi que leurs qualités de réflexion, de logique et rédactionnelles.
Pour les épreuves d'admission, les candidats retenus auront un test technique pratique à réaliser, ainsi qu'une épreuve de mise en situation à caractère pédagogique. Ils passeront ensuite un entretien avec le jury où ils seront notés sur leur expression orale, leur motivation et leur aptitude à exercer leur profession dans le cadre des missions dévolues aux instructeurs de formation professionnelle. Une épreuve facultative en tahitien à l'oral est également disponible.
L'épreuve d'admissibilité se fera à compter du 17 juillet, à Papeete.
Pour celles et ceux qui pourraient être intéressés par ce concours, vous avez jusqu'au 31 janvier pour vous inscrire. Les dossiers sont à retirer à la direction générale des ressources humaines de la fonction publique, immeuble Papineau, 5e étage, rue Tepano-Jaussen, BP 124, 98713 Papeete (tél. : 40 47 79 00) et sur le site internet : www.fonction-publique.gov.pf
Si ce concours est ouvert aux bacheliers et aux personnes ayant un diplôme équivalent, il est également disponible pour les majors et officiers mariniers de la marine nationale des spécialités de navigateur, manœuvre ou mécanicien justifiant de cinq ans de service à la mer. Ainsi qu'aux officiers de la marine marchande titulaires du brevet de capitaine 500 justifiant de cinq ans de service à la mer ; aux officiers mécaniciens titulaires du brevet de chef mécanicien 750 kW justifiant de cinq ans de service à la mer ; aux titulaires du brevet de patron de pêche ou du brevet de patron de pêche au large ou d'un diplôme reconnu équivalent et justifiant dans tous les cas d'une durée de cinq ans de service à la mer.
Pour l'épreuve d'admissibilité, les candidats devront faire une rédaction technique qui permettra d'évaluer leurs connaissances dans le domaine professionnel correspondant au poste à pourvoir ainsi que leurs qualités de réflexion, de logique et rédactionnelles.
Pour les épreuves d'admission, les candidats retenus auront un test technique pratique à réaliser, ainsi qu'une épreuve de mise en situation à caractère pédagogique. Ils passeront ensuite un entretien avec le jury où ils seront notés sur leur expression orale, leur motivation et leur aptitude à exercer leur profession dans le cadre des missions dévolues aux instructeurs de formation professionnelle. Une épreuve facultative en tahitien à l'oral est également disponible.
L'épreuve d'admissibilité se fera à compter du 17 juillet, à Papeete.
Pour celles et ceux qui pourraient être intéressés par ce concours, vous avez jusqu'au 31 janvier pour vous inscrire. Les dossiers sont à retirer à la direction générale des ressources humaines de la fonction publique, immeuble Papineau, 5e étage, rue Tepano-Jaussen, BP 124, 98713 Papeete (tél. : 40 47 79 00) et sur le site internet : www.fonction-publique.gov.pf
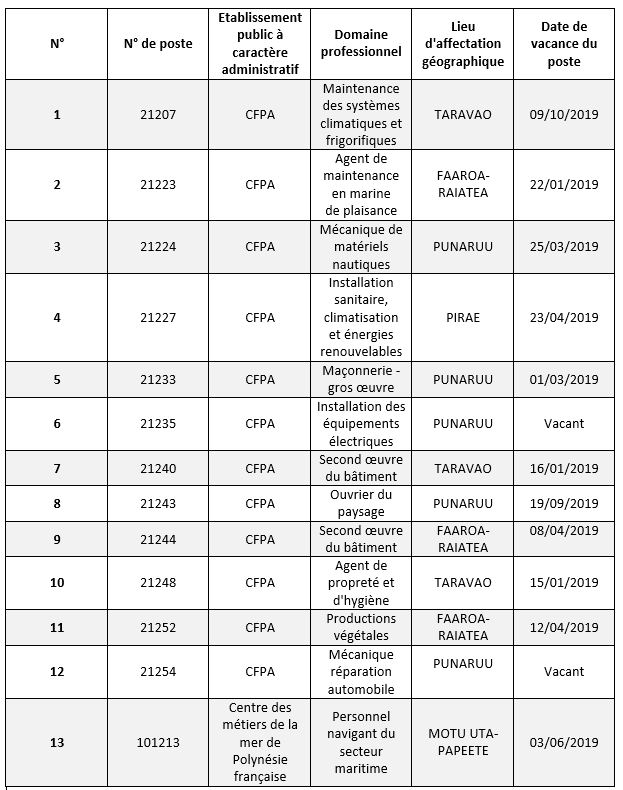
La liste des postes à pourvoir
Les pièces à fournir :
- une photocopie du diplôme requis ;
- une photo d'identité ;
- une photocopie de la carte nationale d'identité ou du
- un passeport en cours de validité (pas de photocopie du permis de conduire) ;
- trois enveloppes autocollantes (16,2 x 22,4) timbrées et libellées à l'adresse personnelle du candidat ;
- un acte de naissance ;
- tout document permettant de justifier d'une expérience professionnelle d'au moins cinq ans dans le domaine professionnel choisi ;
- une photocopie du certificat individuel de participation à la journée défense et citoyenneté pour les candidats âgés de moins de 25 ans au 1er janvier 2018.
Les dossiers d'inscription, accompagnés de toutes les pièces requises, devront obligatoirement être postés à l'adresse de la direction générale des ressources humaines de la Polynésie française (BP 124, 98713 Papeete, Tahiti) au plus tard le jour de la clôture des inscriptions, soit le jeudi 31 janvier 2019 (le cachet de la poste faisant foi) pour être pris en considération.
Tout dossier qui parviendrait à la direction générale des ressources humaines de la Polynésie française par fax, courriel, dépôt physique du candidat, tiers..., autre que par voie postale, sera considéré comme non conforme et rejeté.
- une photocopie du diplôme requis ;
- une photo d'identité ;
- une photocopie de la carte nationale d'identité ou du
- un passeport en cours de validité (pas de photocopie du permis de conduire) ;
- trois enveloppes autocollantes (16,2 x 22,4) timbrées et libellées à l'adresse personnelle du candidat ;
- un acte de naissance ;
- tout document permettant de justifier d'une expérience professionnelle d'au moins cinq ans dans le domaine professionnel choisi ;
- une photocopie du certificat individuel de participation à la journée défense et citoyenneté pour les candidats âgés de moins de 25 ans au 1er janvier 2018.
Les dossiers d'inscription, accompagnés de toutes les pièces requises, devront obligatoirement être postés à l'adresse de la direction générale des ressources humaines de la Polynésie française (BP 124, 98713 Papeete, Tahiti) au plus tard le jour de la clôture des inscriptions, soit le jeudi 31 janvier 2019 (le cachet de la poste faisant foi) pour être pris en considération.
Tout dossier qui parviendrait à la direction générale des ressources humaines de la Polynésie française par fax, courriel, dépôt physique du candidat, tiers..., autre que par voie postale, sera considéré comme non conforme et rejeté.





































