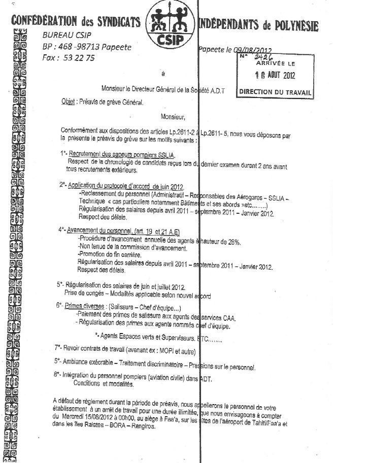
PAPEETE, le 10 Août 12012: A peine sommes-nous sortis du conflit des PNC d'ATN qui a provoqué l'annulation de 5 vols ces derniers jours, que les pompiers de l'aéroport déposent un préavis de grève. Ils menacent d’entamer une grève illimitée à compter mercredi15/08 à 0 heure. Voir les revendications ci-dessous:
1- Recrutement des sapeurs pompiers SSLA: respect de la chronologie de candidats reçus lors du dernier examen durant 2 ans avant tous recrutements extérieurs.
2- Application du protocole d'accord de juin 2012 : reclassement du personnel (administratif- responsable aérogares-SSLIA-technique...) Régulation des salaires epusi avril 2011-septembre 2011-janvier 2012, respect des délais.
3- Avancement du personnel ( Art 19 et 21 A.E) : Procédure d'avancement annuelle des agents à hauteur de 28%, non tenue de la commission d'avancement, promotion de fin de carrière, régularisation des salaires depuis avril 2011- septembre 2011- janvier 2012, respect des salaires.
4- Régularisation des salaires de juin et juillet 2012: prise de congés, modalité applicable selon nouvel accord
5- Primes diverses: salissure, chef d'équipe..) paiement des primes de salissure aux agents de service CAA, régularisation des primes aux agents nommés chefs d'équipe
6- Revoir contrats de travail ( avenant MOPI et autres)
Les pompiers dénoncent également une ambiance exécrable, un traitement discriminatoire et un pression sur le personnel.
1- Recrutement des sapeurs pompiers SSLA: respect de la chronologie de candidats reçus lors du dernier examen durant 2 ans avant tous recrutements extérieurs.
2- Application du protocole d'accord de juin 2012 : reclassement du personnel (administratif- responsable aérogares-SSLIA-technique...) Régulation des salaires epusi avril 2011-septembre 2011-janvier 2012, respect des délais.
3- Avancement du personnel ( Art 19 et 21 A.E) : Procédure d'avancement annuelle des agents à hauteur de 28%, non tenue de la commission d'avancement, promotion de fin de carrière, régularisation des salaires depuis avril 2011- septembre 2011- janvier 2012, respect des salaires.
4- Régularisation des salaires de juin et juillet 2012: prise de congés, modalité applicable selon nouvel accord
5- Primes diverses: salissure, chef d'équipe..) paiement des primes de salissure aux agents de service CAA, régularisation des primes aux agents nommés chefs d'équipe
6- Revoir contrats de travail ( avenant MOPI et autres)
Les pompiers dénoncent également une ambiance exécrable, un traitement discriminatoire et un pression sur le personnel.





























